Fasor

El estado permanente y el dominio de la frecuencia.

[Índice]

Fasor; definición

En el análisis de sistemas, es común trabajar en el estado permanente, definiendo el estado permanente de un sistema como las condiciones físicas en que se encuentra dicho sistema sea respuesta o estado de variables bajo condiciones constantes y considerando un lapso transcurrido en el que los efectos de las condiciones iniciales en la respuesta del sistema son despreciables. Un ejemplo de ello es la situación de barco al cual en un instante dado se pone inestable al cargarlo físicamente, transcurrido un lapso la posición del barco se vuelve estática, mientras no se vuelva a cargar o descargar el barco presenta la misma respuesta mecánica de estabilidad, en ese estado se puede decir que la respuesta del barco está en el estado permanente.

El caso de sistemas excitados con fuentes sinusoidales, en el estado permanente la respuesta generalmente también es de la forma sinusoidal, a través de una transformada se puede llevar el análisis del dominio del tiempo al dominio de la frecuencia, cuando es así, el análisis de estos sistemas se simplifica.

El fasor es el resultado de realizar la transformación de una señal sinusoidal en el dominio del tiempo en el estado permanente hacia el dominio de la frecuencia, matemáticamente el fasor de una función sinusoidal f(t) se define:
f(t) ⇔ F(ω)  . . . (e10.01)
para lo cual:

En el dominio del tiempo se presenta:
f(t) = A * cos(ωt + α)  . . . (e10.02)
donde:
A es la amplitud o magnitud de la onda
ω es la frecuencia angular, medido en radianes por segundo
t es el tiempo
α es el ángulo de fase, medido en radianes

En el dominio de la frecuencia se presenta:
F(ω) = A * e  . . . (e10.03)
donde:
A es la amplitud o magnitud del fasor, mismo parámetro que en el dominio del tiempo
e es el número de Euler
ω es la frecuencia angular, mismo parámetro que en el dominio del tiempo
α es el ángulo de fase, mismo parámetro que en el dominio del tiempo
j es la unidad imaginaria o sea √-1
la letra j se usa en vez de la letra i para no causar confusión de notación ya que la letra i representa a la corriente eléctrica. De ser necesario es prudente para el lector realizar un repaso de números complejos.

En la práctica de la teoría de circuitos es común trabajar con la fórmula de Euler, de hecho sucede que:
e = cos(θ) + j sen (θ) = cis(θ)  . . . (e10.04)
A * e = A(cos(θ) + j sen (θ)) = A cis(θ) = A∠θ  . . . (e10.05)
todas las identidades anteriores se usan comúnmente.

De forma explícita:
f(t) = Acos(ωt + α) ⇔ F(ω) = Ae  . . . (e10.06)

Una demostración formal de la relación de funciones del dominio del tiempo hacia el dominio de la frecuencia se presenta en el artículo Origen de la definición de los Fasores empleados en el análisis de Sistemas de parámetros concentrados.

Fasor; derivada e integración

En el análisis de circuitos eléctricos con capacitores e inductores resultan sistemas de ecuaciones integro-diferenciales, si dicho circuito eléctrico está restringido a las condiciones de;
las fuentes de excitación son sinusoidales
el circuito se encuentra en el estado permanente
se puede aplicar la transformada fasorial a las señales, donde las señales se representan con una función que en forma general es;
f(t) = Acos(ωt + α)  . . . (e10.02)
a lo cual, en el dominio de la frecuencia le corresponde una función;
F(ω) = Ae  . . . (e10.03)
al presentarse funciones sinusoidales para el análisis es necesario tener presente varios de los fundamentos de trigonometría.

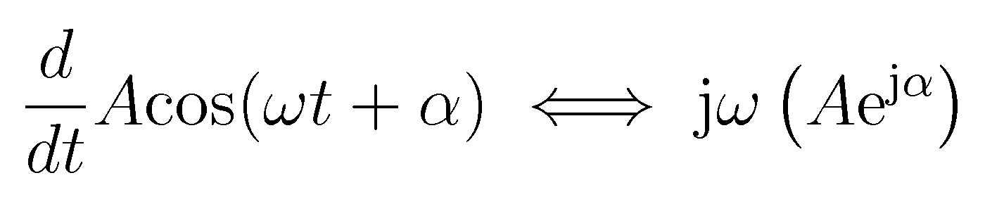
En el caso de que f(t) sea derivada:
ecuacion  . . . (e10.07)
es conveniente que la función siga expresada en términos del coseno, existe la siguiente identidad trigonométrica;
sen(θ) = cos (θ - π/2)  . . . (e10.08)
aplicando dicha identidad;
ecuacion  . . . (e10.09)
aplicando la transformada fasorial a la ecuación anterior;
ecuacion  . . . (e10.10)
de ahí, al descomponer el término de e:
ej(α - π/2) = eej(-π/2)  . . . (e10.11)
en el segundo término, al aplicar la fórmula de Euler y evaluar;
ej(-π/2) = cos(-π/2) + j sen(-π/2) = 0 + j(-1) = -j  . . . (e10.12)
reescribiendo, de forma general;
ej(±π/2) = ±j  . . . (e10.13)
entonces, al aplicar lo anterior:
-Aωej(α - π/2) = +jω Ae = jω F(ω)  . . . (e10.14)
concluyendo, se presenta la transformada fasorial para la derivada de f(t):
ecuacion  . . . (e10.15)

En el caso de que f(t) sea integrada:
inicialmente la integral de la función coseno es la siguiente:
∫cos(θ)dt = sen(θ) + C  . . . (e10.16)
sin embargo, se presume C = 0 bajo las condiciones del estado permanente.
así entonces;
ecuacion  . . . (e10.17)
es conveniente que la función siga expresada en términos del coseno, aplicando la identidad trigonométrica (e10.08);
ecuacion  . . . (e10.18)
aplicando la transformada fasorial a la ecuación anterior;
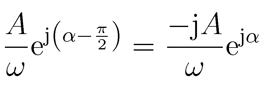
ecuacion  . . . (e10.19)
al aplicar la identidad (10.13) de forma similar que en el análisis anterior de la derivada:
ecuacion  . . . (e10.20)
una identidad propia de la unidad compleja se muestra y demuestra;
ecuacion  . . . (e10.21)
aplicando la identidad anterior (e10.21) en la trasformada fasorial de la integral de f(t) (e10.20);
ecuacion  . . . (e10.22)
concluyendo, se presenta la transformada fasorial para la integral de f(t):
ecuacion  . . . (e10.23)

Como conclusión general, si se tiene:
f(t) = Acos(ωt + α)  . . . (e10.02)
y
F(ω) = Ae  . . . (e10.03)
donde;
f(t) ⇔ F(ω)  . . . (e10.01)
las transformadas fasoriales para la derivada de f(t) y la integral de f(t) son respectivamente;
ecuacion  . . . (e10.24)
ecuacion  . . . (e10.25)
se puede decir,
en el estado permanente, la derivada de una función sinusoidal en el dominio del tiempo resulta en la multiplicación de su transformada fasorial por el término jω ,
y
en el estado permanente, la integral de una función sinusoidal en el dominio del tiempo resulta en la división de su transformada fasorial entre el término jω ,
así, en el análisis de un circuito eléctrico en el estado permanente y con excitación sinusoidal, las ecuaciones simultáneas resultantes se pueden transformar al dominio de la frecuencia y en lugar de operar con derivadas e integrales se opera con multiplicaciones y divisiones, de forma análoga al operar con la transformada de Laplace.

Una observación muy importante es el hecho de que la frecuencia angular ω debe de ser expresada en radianes por segundo cuando de derivadas o integrales de funciones trigonométricas se trata, es un error tomar unidades como grados por segundo, o gradientes por hora, o revoluciones por minuto, etcétera. La demostración formal del porqué de este hecho transcendental se deja como tema de investigación al lector.


Víctor Alberto Salinas Reyes - Asesoría y Diseño Electrónico. http://vicsalinas.freehostia.com .
Valid HTML 4.01 Strict